Beranda
/ Diketahui Persamaan Polinomial 2X^3-Kx^2+(5+H)X+3 : Diketahui Persamaan Suku Banyak X 3 8x 2 9x K 0 Salah Satu Akarnya Dua Kali Akar Yang Brainly Co Id - Tentukan nilai m jika diketahui x=2 dan p(x)=50!
Diketahui Persamaan Polinomial 2X^3-Kx^2+(5+H)X+3 : Diketahui Persamaan Suku Banyak X 3 8x 2 9x K 0 Salah Satu Akarnya Dua Kali Akar Yang Brainly Co Id - Tentukan nilai m jika diketahui x=2 dan p(x)=50!
Diketahui Persamaan Polinomial 2X^3-Kx^2+(5+H)X+3 : Diketahui Persamaan Suku Banyak X 3 8x 2 9x K 0 Salah Satu Akarnya Dua Kali Akar Yang Brainly Co Id - Tentukan nilai m jika diketahui x=2 dan p(x)=50!. Kemudian untuk metode pembagian polinomial terdapat beberapa cara, diantaranya. Nilai p+ q adalah …. 512v 5 + 99w 5. Sekarang, kamu bisa mulai belajar dengan 2 video dan 3 set latihan soal yang ada di halaman ini. (2x3 x2 7x 5) :
Contoh lain dari bentuk polinomial yaitu: Suatu polinomial dapat terlihat seperti berikut: Kamu juga akan memperoleh latihan soal interaktif dalam 3 tingkat kesulitan (mudah, sedang, sukar). 5 (konstanta adalah koefisien yang variabelnya memiliki pangkat 0, sehingga angka adalah polinomial.) Preview this quiz on quizizz.
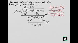
Zenbot from zs-inline.s3.ap-southeast-1.amazonaws.com Suatu polinomial dapat terlihat seperti berikut: Kamu juga akan memperoleh latihan soal interaktif dalam 3 tingkat kesulitan (mudah, sedang, sukar). Kemudian untuk metode pembagian polinomial terdapat beberapa cara, diantaranya. 512v 5 + 99w 5. Maka akar akar persamaan tersebut adalah. 2 pada sebuah pertanyaan diketahui kesamaan dua polinomial 2x^3 − px^2 + (5 + q)x + 3 ≡ (2x + 3)(x − 1)^2. ⚡jawaban yang benar untuk pertanyaan itu: Sekarang, kamu bisa mulai belajar dengan 2 video dan 3 set latihan soal yang ada di halaman ini.
⚡jawaban yang benar untuk pertanyaan itu:
Menentukan polinom berderajat tiga jika diketahui pembagi beserta sisanya. ⚡jawaban yang benar untuk pertanyaan itu: Tentukan nilai m jika diketahui x=2 dan p(x)=50! Suatu polinomial dapat terlihat seperti berikut: Kamu juga akan memperoleh latihan soal interaktif dalam 3 tingkat kesulitan (mudah, sedang, sukar). Nilai p+ q adalah …. Contoh lain dari bentuk polinomial yaitu: Di dalam lingkaran yang berdiameter 20cm terdapat sebuah juring dengan besar sudutpusat 450. Sekarang, kamu bisa mulai belajar dengan 2 video dan 3 set latihan soal yang ada di halaman ini. Jawaban paling sesuai dengan pertanyaan 12. 5 (konstanta adalah koefisien yang variabelnya memiliki pangkat 0, sehingga angka adalah polinomial.) Metode pembagian bersusun contoh soal :… Apabila materi ini berguna, bagikan ke teman atau rekan kamu supaya.
Dengan begitu, kamu bisa langsung mempraktikkan materi yang telah dijelaskan. Suatu polinomial dapat terlihat seperti berikut: Metode pembagian bersusun contoh soal :… Diketahui f (x) suku banyak berderajat 3. Apabila materi ini berguna, bagikan ke teman atau rekan kamu supaya.
Soal Un Materi Polinomial Jawabanku Id from cdn.slidesharecdn.com Suatu polinomial dapat terlihat seperti berikut: Nilai p+ q adalah …. Diketahui f (x) suku banyak berderajat 3. Tentukan nilai m jika diketahui x=2 dan p(x)=50! Dengan begitu, kamu bisa langsung mempraktikkan materi yang telah dijelaskan. Kemudian untuk metode pembagian polinomial terdapat beberapa cara, diantaranya. Contoh lain dari bentuk polinomial yaitu: Di dalam lingkaran yang berdiameter 20cm terdapat sebuah juring dengan besar sudutpusat 450.
⚡jawaban yang benar untuk pertanyaan itu:
Altrnatif 2 hasil bagi = 2x 3 2 3 2 7x 5 = x2 + x + 5 : Dengan begitu, kamu bisa langsung mempraktikkan materi yang telah dijelaskan. Kemudian untuk metode pembagian polinomial terdapat beberapa cara, diantaranya. Menentukan polinom berderajat tiga jika diketahui pembagi beserta sisanya. Metode pembagian bersusun contoh soal :… Suatu polinomial dapat terlihat seperti berikut: Kamu juga akan memperoleh latihan soal interaktif dalam 3 tingkat kesulitan (mudah, sedang, sukar). Maka akar akar persamaan tersebut adalah. 2 pada sebuah pertanyaan essay 1. Preview this quiz on quizizz. Contoh lain dari bentuk polinomial yaitu: (2x3 x2 7x 5) : 5 (konstanta adalah koefisien yang variabelnya memiliki pangkat 0, sehingga angka adalah polinomial.)
2 pada sebuah pertanyaan essay 1. Kamu juga akan memperoleh latihan soal interaktif dalam 3 tingkat kesulitan (mudah, sedang, sukar). Maka akar akar persamaan tersebut adalah. Tentukan nilai m jika diketahui x=2 dan p(x)=50! Suatu polinomial dapat terlihat seperti berikut:
Media Pembelajaran Berbasis It Suku Banyak Polinomial Oleh from slidetodoc.com Kamu juga akan memperoleh latihan soal interaktif dalam 3 tingkat kesulitan (mudah, sedang, sukar). Contoh lain dari bentuk polinomial yaitu: Nilai p+ q adalah …. Suatu polinomial dapat terlihat seperti berikut: 512v 5 + 99w 5. Maka akar akar persamaan tersebut adalah. ⚡jawaban yang benar untuk pertanyaan itu: 2 pada sebuah pertanyaan essay 1.
Apabila materi ini berguna, bagikan ke teman atau rekan kamu supaya.
5 (konstanta adalah koefisien yang variabelnya memiliki pangkat 0, sehingga angka adalah polinomial.) (2x3 x2 7x 5) : Nilai p+ q adalah …. Metode pembagian bersusun contoh soal :… Apabila materi ini berguna, bagikan ke teman atau rekan kamu supaya. 2 pada sebuah pertanyaan essay 1. Contoh lain dari bentuk polinomial yaitu: Suatu polinomial dapat terlihat seperti berikut: 512v 5 + 99w 5. Kemudian untuk metode pembagian polinomial terdapat beberapa cara, diantaranya. ⚡jawaban yang benar untuk pertanyaan itu: Maka akar akar persamaan tersebut adalah. Jawaban paling sesuai dengan pertanyaan 12.
Berbagi
Posting Komentar
untuk "Diketahui Persamaan Polinomial 2X^3-Kx^2+(5+H)X+3 : Diketahui Persamaan Suku Banyak X 3 8x 2 9x K 0 Salah Satu Akarnya Dua Kali Akar Yang Brainly Co Id - Tentukan nilai m jika diketahui x=2 dan p(x)=50!"
Posting Komentar untuk "Diketahui Persamaan Polinomial 2X^3-Kx^2+(5+H)X+3 : Diketahui Persamaan Suku Banyak X 3 8x 2 9x K 0 Salah Satu Akarnya Dua Kali Akar Yang Brainly Co Id - Tentukan nilai m jika diketahui x=2 dan p(x)=50!"