Lompat ke konten Lompat ke sidebar Lompat ke footer

Contoh Literatur Jurnal : Pengertian Review Jurnal Dan Cara Melakukannya Ranah Research : Tercatat sebanyak 55 artikel atau sekitar 31% dari total keseluruhan observasi jurnal, meneliti tentang pasar modal dan saham syariah.

Dari contoh jurnal ekonomi manajemen pemasaran yang dibaca, mahasiswa tidak hanya bisa menjadikannya sebagai referensi, namun mereka juga akan memperoleh petunjuk referensi lain dari literatur review yang ada di dalam contoh jurnal tersebut. Pengantar, tahapan dan studi via romisatriawahono annisa adelina fajri contoh review text review novel via startravelinternational gizi saat ibu hamil mual muntah program studi ilmu gizi via gizi.fk.ub.ac.id. Perlu dipahami bahwa yang disebut dengan literatur ilmiah dapat berupa: There is also a risk of getting a poorly written essay or a plagiarized one. Kata review berasal dari bahasa inggris, yakni re yang berarti 'mengulang'

Dan yang kedua didefinisikan sebagai karya tulis pelajar. Pengertian Manfaat Dan Langkah Langkah Literatur Review Jejaring
Pengertian Manfaat Dan Langkah Langkah Literatur Review Jejaring from www.jejaring.web.id
Sebelum mengulik berbagai contoh review jurnal dan contoh resume jurnal serta perbedaannya, ada baiknya kita memahami pengertian dari keduanya.artikel ini akan terlebih dahulu membahas mengenai contoh review jurnal. There is also a risk of getting a poorly written essay or a plagiarized one. Unfortunately, one can't deny the contoh literature review jurnal necessity of doing homework as it may influence student's grades greatly. contoh konkritnya banyak ada di internet dan hasil suatu literature review umumnya tertuang dalam bentuk pendahuluan dan landasan teori suatu produk ilmiah seperti thesis, skripsi, ataupun tugas akhir. jurnal yang dapat diakses secara penuh 4.2.4 penilaian kualitas dalam penilaian kualitas pada metode systematic literature review (slr) yang dimaksud adalah penilaian sumber data jurnal yang layak dengan kriteria sebagai Penelitian ini bertujuan untuk mengetahui adanya pengaruh negatif perceived functional risk, perceived financial risk, perceived physical risk, dan. Semoga bermanfaat dan bisa menambah ilmu pengetahuan. Anteseden perceived risk pada purchase intention jurnal:

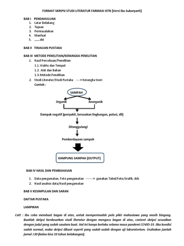
Berikut ini saya akan memberikan beberapa contoh jurnal untuk dapat kalian pelajari atau bersama teman agar kamu paham cara membuat sebuah jurnal, yang baik dan benar jika sewaktu nanti kamu mendapatkan tugas untuk membuat jurnal, ini adalah contoh jurnal sebagai berikut :

Literature review 1 penulis jurnal judul jurnal halaman jurnal teori metode hasil penelitian literature review 2 penulis jurnal judul jurnal halaman jurnal teori metode hasil penelitian. Penelitian ini bertujuan untuk mengetahui adanya pengaruh negatif perceived functional risk, perceived financial risk, perceived physical risk, dan. Using this service like a buffer contoh literature review jurnal pdf between you and a professional writer, you can get rid of all these unpleasant outcomes. Hal pertama yang perlu kita lakukan adalah, mencari sumber atau bahan untuk membuat literature review tersebut. contoh jurnal ilmiah bidang hukum. Best contoh literature review jurnal internasional decision ever! Dan yang kedua didefinisikan sebagai karya tulis pelajar. Sebelum mengulik berbagai contoh review jurnal dan contoh resume jurnal serta perbedaannya, ada baiknya kita memahami pengertian dari keduanya.artikel ini akan terlebih dahulu membahas mengenai contoh review jurnal. Anteseden perceived risk pada purchase intention jurnal: This makes it indeed difficult to do homework as there are a lot of things that demand attention besides studying. Inilah contoh review jurnal internasional yang baik dan benar tentang pendidikan, ekonomi, psikologi, ilmiah, pertanian, dan kesehatan (pdf & Pengertian, ciri, tujuan, manfaat, jenis & Perlu dipahami bahwa yang disebut dengan literatur ilmiah dapat berupa:

Bahkan kami yakin banyak dari anda yang mungkin pernah melihat contoh review jurnal nasional maupun contoh review jurnal internasional yang dilakukan oleh reviewer berpengalaman. Dengan kata lain, istilah studi literatur ini juga sangat familiar dengan sebutan studi pustaka. Umumnya, para dosen pembimbing pun meminta mahasiswa mencari contoh jurnal skripsi. Unfortunately, one can't deny the contoh literature review jurnal necessity of doing homework as it may influence student's grades greatly. Almanak, pedoman literatur, bibliografi seperti, daftar penelitian, direktori, daftar buku atau majalah,katalog induk majalah daftar indeks dan abstrak.

Tipe jurnal (review articles, research articles). Ini Nih Cara Mereview Jurnal Yang Baik Contoh 2021
Ini Nih Cara Mereview Jurnal Yang Baik Contoh 2021 from www.ilmubahasa.net
Tujuannya untuk menemukan topik menarik dan terhindar dari plagiat. Kumpulan contoh daftar pustaka dari internet buku jurnal koran makalah skripsi laporan proposal yang singkat tepat baik dan benar. Studi kepustakan adalah segala usaha yang dilakukan oleh peneliti untuk menghimpun informasi yang relevan dengan topik atau masalah yang akan atau sedang diteliti. Jenis literatur ini umumnya berisi tentang gagasan ataupun teori baru di berbagai disiplin ilmu. Demikianlah penjelasan terlengkap mengenai √ literatur : • mengumpulkan informasi dari jurnal yang akan di review • informasi dapat berupa: contoh literature review jurnal pdf. jurnal yang dapat diakses secara penuh 4.2.4 penilaian kualitas dalam penilaian kualitas pada metode systematic literature review (slr) yang dimaksud adalah penilaian sumber data jurnal yang layak dengan kriteria sebagai

100 kumpulan contoh daftar pustaka dengan cara penulisan yang tepat february 6 2019 june 11 2018 by rahman cara penulisan daftar pustaka daftar pustaka merupakan kumpulan sebuah daftar tulisan yang dikemas menjadi.

You pay for the paper that adheres to your requests. Dengan kata lain, istilah studi literatur ini juga sangat familiar dengan sebutan studi pustaka. Hal pertama yang perlu kita lakukan adalah, mencari sumber atau bahan untuk membuat literature review tersebut. Nah, berikut dalam artikel ini akan dibahas secara lengkap apa itu jurnal, jenis jenis nya hingga contoh jurnal. Lalu tahukah anda apa itu jurnal? Analisis kritis 15 jurnal nasional no peneliti tahun jenis dan desain penelitian populasi sampel variabel teknik dan instrumen Layaknya tulisan ilmiah lain, skripsi butuh observasi dan penelitian mendalam terkait topik yang ingin dibahas. Tujuannya untuk menemukan topik menarik dan terhindar dari plagiat. contoh literature review jurnal pdf. Kira2 ada contoh review jurnal yg lainnya gag. Best contoh literature review jurnal internasional decision ever! Misalnya contoh jurnal penyesuaian perusahaan dagang yaitu. Kumpulan contoh daftar pustaka dari internet buku jurnal koran makalah skripsi laporan proposal yang singkat tepat baik dan benar.

Risawandi s.t.,m.kom contoh review literatur review paper judul implementasi algoritma djikstra untuk mendapatkan jalur tercepat dan jalur terpendek jurnal proceding snatika (seminar nasional teknologi informasi. Dengan kata lain dalam proses menyusun contoh review jurnal dan contoh resume jurnal kita harus terlebih dahulu menentukan diri sebagai seorang peneliti bukan sebagai seorang penikmat. Literature review is a critical and in depth evaluation of previous research (shuttleworth, 2009). Kumpulan contoh daftar pustaka dari internet buku jurnal koran makalah skripsi laporan proposal yang singkat tepat baik dan benar. Pengertian, ciri, tujuan, manfaat, jenis &

contoh soal jurnal umum perusahaan dagang dan jawabannya. 10 Perbedaan Analisis Dan Review Jurnal Penelitianilmiah Com
10 Perbedaan Analisis Dan Review Jurnal Penelitianilmiah Com from penelitianilmiah.com
Mahasiswa tingkat akhir pasti paham sulitnya menulis skripsi. Perlu dipahami bahwa yang disebut dengan literatur ilmiah dapat berupa: There is also a risk of getting a poorly written essay or a plagiarized one. 106 contoh soal akuntansi jurnal khusus penjelasan. contoh literature review jurnal akuntansi we work in a very competitive market, and we aim to be the best among the writing websites. Our essays writers are so scholastically differed in numerous ways. contoh kajian literatur jurnal kajian literatur. Agar hasil mereview jurnal memuaskan berikut kami lampirkan juga contoh review jurnal sebagai referensi inspirasi membuat jurnal.

Dan yang kedua didefinisikan sebagai karya tulis pelajar.

But our company strictly recommended you that do not submit the paper. Tulisan ini merupakan artikel yang ditulis oleh norlia abd. Kira2 ada contoh review jurnal yg lainnya gag. Misalnya contoh jurnal penyesuaian perusahaan dagang yaitu. Kata review berasal dari bahasa inggris, yakni re yang berarti 'mengulang' • mengumpulkan informasi dari jurnal yang akan di review • informasi dapat berupa: contoh literature review jurnal akuntansi we work in a very competitive market, and we aim to be the best among the writing websites. Bagi anda yang berkutat di dunia akademisi atau penelitian pastinya anda sudah tidak asing lagi dengan istilah jurnal atau review jurnal, baik jurnal internasional yang dibuat. Pengertian, ciri, tujuan, manfaat, jenis & If you are contoh literature review jurnal internasional misled and stalled while writing your essay, our professional college essay writers can help you out to complete an excellent quality paper. Literature review is a critical and in depth evaluation of previous research (shuttleworth, 2009). contoh proposal skripsi bahasa inggris via www.slideshare.net. Studi literatur terkait tema pasar modal syariah berikut saham syariah merupakan isu riset yang paling banyak setelah industri perbankan islam.

Contoh Literatur Jurnal : Pengertian Review Jurnal Dan Cara Melakukannya Ranah Research : Tercatat sebanyak 55 artikel atau sekitar 31% dari total keseluruhan observasi jurnal, meneliti tentang pasar modal dan saham syariah.. This is an excellent decision for students, who are striving to deliver the essay on time and don't know what to do when they are facing an especially complicated text. Nah, untuk itu penulis akan membagikan cara membuat jurnal skripsi, umum, contoh karya tulis ilmiah dan masih banyak lagi. Jenis literatur ini umumnya berisi tentang gagasan ataupun teori baru di berbagai disiplin ilmu. contoh jurnal ilmiah bidang hukum. contoh proposal skripsi bahasa inggris via www.slideshare.net.

Posting Komentar untuk "Contoh Literatur Jurnal : Pengertian Review Jurnal Dan Cara Melakukannya Ranah Research : Tercatat sebanyak 55 artikel atau sekitar 31% dari total keseluruhan observasi jurnal, meneliti tentang pasar modal dan saham syariah."